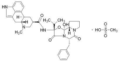
Ergocristine

511-08-0

Ergocristine

Product Code

E180

Formula

C35H39N5O5

Brand

NTO

Family

ERGO DERIVATIVES

Molecular weight

609.71

Aspect

Solid

Pictograms

T

H&P data

H301-H331

P261-P301+P310-P405-P501

Products

New prices are available! Log in or create an account to view prices.

Log in

E180P001

In stock

1mg

Sign in to create request

E180P005

In stock

5mg

Sign in to create request

E180S100ANVC

Limited

100µg/ml in Acetonitrile - 1.1ml

Sign in to create request

E180S100MEVC

Limited

100µg/ml in Methanol - 1.1ml

Sign in to create request

Product informations

Recommended storage

-20°C in the dark

Expedition storage

Room temperature

Origin

FRANCE

Related products

9,10-Dihydroergocristine Methanesulfonate

9,10-Dihydroergocristine Methanesulfonate

24730-10-7

DISCOVER